Recientemente me topé con un caso muy interesante acerca del impacto de adelantar pagos de una hipoteca. Este caso tiene muchas variables, por lo que para evaluarlo podemos tomar en cuenta diferentes escenarios. De entre lo que tenemos para evaluar es el costo de oportunidad (palabra muy utilizada por economistas), tasas de interés, pago mensual y el número de plazos de tu hipoteca.
La “temible” tabla de amortización
Si has visto una tabla de amortización, sabrás que es una hoja plagada de numeritos que te dice cuánto pagar y cuánto has pagado de tu casa. Muchas veces pasa que lo que nos dice el banco que paguemos, lo hacemos sin cuestionar, porque a veces no sabemos de donde sale tanto número. Como si fuera un toro, vamos a agarrarlo por los cuernos, ya verás que es sólo un becerrito.
Así empezaría una de 1 millón de pesos:
| Mes transucurrido | Pago | Seguro | interés sobre saldo | Amortización | Saldo |
| 0 | 1,000,000 |
El mes transcurrido no necesita explicación. Al principio de tu recibo te darán cuenta del número de pago en el que vas.
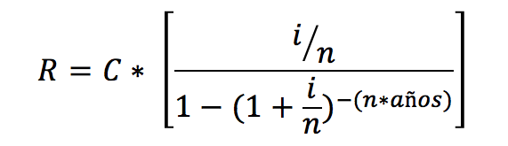
Pago: Este se calcula con esta fórmula, donde:
C = monto total del préstamo
i = tasa de interés
n = número de pagos al año
R = pago del periodo
No se preocupen, toda esta información la pueden meter a una función de Excel que se llama “pago” o “pmt” en inglés y se hace solita J
Amortización: es la parte del pago que cubre capital. Se determina así:
A = pago mensual – interés sobre saldo
Saldo: Siempre empieza con el monto total del préstamo. Por cada periodo se le resta la amortización. (Para este ejemplo: 1 millón – amortización)
Interés sobre saldo: varía dependiendo cada mes. Se calcula con la siguiente fórmula:
Saldo * (i/n)
Ahora que ya sabemos cómo se compone una tabla, veamos el efecto de los pagos por adelantado, pero antes mencionemos el:
Costo de oportunidad – En términos sencillos es lo que dejamos de recibir (intereses) en proyecto A, para invertir en un proyecto B. Si tengo dos opciones, invertir en una tortillería o en una paletería, y elijo la paletería, el costo de oportunidad sería la rentabilidad que me pudo haber dado la tortillería.
Para el caso de las hipotecas, hay que evaluar lo siguiente: Decidir entre adelantar el pago o invertir ese dinero en una cuenta de inversión. Hay que tomar en cuenta varias cosas:
- Qué tan frecuentes van a ser los pagos por adelantado – Si los pagos por adelantado van a ser frecuentes, el impacto de los mismos va a ser mayor. Pero para poder evaluar esto correctamente hay que ver el siguiente punto. Evalúa si puedes sostener un pago por adelantado por lo menos un año.
- Términos de tu contrato – Esto es lo más importante. Aquí se define si los pagos por adelantado se abonan a capital o sólo cubren intereses. Si vas a adelantar puros intereses el beneficio es cuestionable. Si los pagos van a tener impacto en el capital, en teoría se te debería reducir el pago mensual. También hay algunos planes que no te reducen el monto con el que contribuyes cada mes, pero te reduce el monto total de los plazos. (De 180 meses a 150 meses, por ejemplo)
- Rendimiento de la inversión – Hay que comparar el interés que te ahorrarías pagando por adelantado, contra el interés que te ganarías invirtiendo en un pagaré, fondo de inversión o cuenta de inversión. Si el porcentaje de rendimiento de tu ahorro es mayor, no te conviene adelantar pagos: ¡Estás recibiendo más al invertir!
Algo que he aprendido, es que cada caso es diferente y por lo mismo, no puedo recomendar un solo rumbo de acción. Lo que si puedo darte son los puntos básicos a cuidar, para que tu experiencia con el crédito sea lo más agradable posible. Comparando entre distintas opciones, encontrarás la que más se acomoda a lo que estás buscando y harás un uso más eficiente de tu dinero.


Leave a comment